聚焦公司动态,解读选矿知识,剖析行业热点,分享选矿经验,我们将鑫海动态及时呈现给您。在这里,您可以更深入、更全面地了解鑫海矿业。
2016-08-02 来源:鑫海矿业 (21759次浏览)
自磨机的处理能力与其所要加工的矿石性质、要求的产品粒度及磨矿操作条件等因素有关。其处理能力一般是根据小型自磨机进行的半工业性试验数据推算出来的。
自磨机处理能力的计算方法
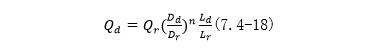
我国常用的自a机单台处理量计算公式为:

式中Qd——设计拟选用自磨机的处理量,t/h;
Qr——试验用的自磨机的处理量,t/h;
Dd、Ld——设计拟选用的自磨机的筒体直径及长度,m;
Dr、Lr——试验用的自磨机的筒体直径及长度,m;
n——放大系数。湿磨时n=2.6;干磨时n=2.5〜3.1,—般粗磨时取大值,细磨时取小值。
加拿大卡罗尔选矿厂Ф6.4m干式自磨机的n值是拫据试验用自磨机推算的,粗磨时n=3.11;细磨时n=2.85;处理卡罗尔矿山的矿石时n=2.95。利比里亚邦格选矿厂Ф6.7x2.1m湿式自磨机的n值是根据Ф2.4x0.9m试验用的自磨机推算的,n=2.6。
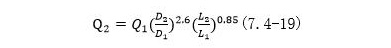
在设计拟选用的自磨机与试验用的自磨机之间,保持相似的磨矿条件(给矿粒度、产品粒度、矿石密度、水分、磨机巧数、充填率等)的情况下,设计拟选用的自磨机的生产能力按下式计算:

式中Q2——设计拟选用自磨机的处浬量,t/h;
Q1——试验用的自磨机的处理量,t/h;
D2、L2——设计拟选用自磨机有效直径和长度,m;
D1、L1——试验用的自磨机的有效直径和长度,m。
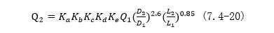
如果设计中拟选用的自磨机与试验用的自磨机没有保持相似磨矿条件时,设计中拟选用的自磨机的处理量的计算结果,应乘以相应的修正系数:

式中Ka——给矿粒度变化系数,当试验使用的自磨机给矿粒度为150〜200mm、设计拟选用的自磨机给矿粒度为200〜300mm时,Ka值可按下式计算:

Kb——产品粒度变化系数;
Kc——装球量修正系数;
Kd——自磨机引出“难磨粒子”的修正系数;
Ke——矿石的硬度修正系数,查表7.4-15。
表 7.4-15 矿石坚硬度修正系数Ke值
| 普氏硬度 | Ke 值 |
| 8 | 1.3 |
| 12 | 1.0 |
| 15 | 0.85 |
| 19 | 0.55 |
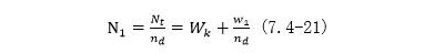
用功耗法计算选择自磨机,是在自磨机半工业性试验提供必要的生产能力、给矿粒度、产品粒度等工艺参数之外,还须求出自磨机生产每吨磨矿产品的净功耗。净功耗是指在直接带动自磨机的齿轮轴上测得的满负荷与空转的功耗之差,以kW·h/t表示。净功耗与设计流程的原始给矿量之乘积即为磨成全部产品所需要的总净功率W1。该总净功率加上拟选用的磨矿机总台数空转总功率,即为选用自磨机的总功率Nt。则拟选用自磨机的单台轴功率为:

式中nd——同前,(在这里要试测定后才能计算);
Nt、N1——同前;
Wk——拟选用的自磨机单台空转轴功率(从相似的选矿厂的同规格自磨机测得),kW;
w1——把全部原始给矿量磨成合格产品所需的总净功率,kW。
依此选择自磨机的规格和台数。国外制造厂所用“功耗法”不尽相同。
内容版权归鑫海矿业所有
未经许可不可擅自使用如需转载文章
请联系我们授权
侵权必究!
自磨机可以通过字面意思来理解,就是物料自己磨,无需任何磨矿介质来辅助,这也是它与球磨机的不同之处。自磨机依靠给入的物料进行相互撞击与研磨,最终实现磨矿要求。那么自磨机与球磨机只一字之差,两者之间怎么区分呢?自磨机的构造到底有什么特征呢?
选矿厂设计是以选矿工艺专业为主体,其它有关专业相辅助、共同完成的整体设计。从广义上讲,它的工作步骤可分为三大阶段:一是设计前期工作阶段;二是初步设计和施工图设计(含技术设计)阶段;三是配合施工及试生产阶段。

您可以在下面表格填写您的需求信息,我们的技术与销售人员会尽快与您取得联系。为保证能及时处理您的信息,请务必准确填写您的联系电话!